V+dV h+dh P+dp +d A+dA s  V  h P T A s Throat   (At)  CV -MODULE -    -  :           ho(To) and Po).      q + h + = (h + dh) +  + w     dh = VdVdV2 codV) Exit (Ae) V+dV x
Elemental
KNOWLEDGE (Concepts, Equations and Analysis) SUB
Steady, One
Dimensional Isentropic Flows with Area Change
Applications:
Subsonic (converging) nozzles, subsonic (diverging) diffusers, and converging
diverging (supersonic) nozzles
Control Volume
An elemental volume is chosen for mass and energy balances. All properties
except entropy (s) change in the flow direction. Other properties that do not change
in isentropic flows are stagnation enthalpy (
), stagnation temperature
stagnation pressure (
Governing Equations
First Law (Energy Equation)
2
2
V
2
2
dV
V
(Isentropic process is reversible adiabatic, q = 0)
              (1)  (Neglect
mpared to
 2   Tds = dh  vdp ds        (2)     ddV, ddA, dVdA (secondd, dA and dV  VA = VdA + VA d + AdV + VA  VA    (3)    d    dV > 0; dA < 0) dA/A   )
Property Relation (Second Law)
Since for isentropic flows
= 0, one gets,
VdV
dp
dh
Mass Conservation
dA
A
dV
V
d
vA
Neglecting terms such as
order terms) compared to
, one gets
divide by
, one gets,
0
A
dA
V
dV
d
                
Special Case:
For incompressible flows
= 0, no change in density due to pressure change.
A
dA
V
dV
This states that to increase velocity in incompressible flows or fluids, area must
decrease (
Solving for
in Eq. (3), one gets
d
dp/
V
dp
dp
dp
d
V
dV
d
V
dV
A
dA
1
2
(We have used Eq. (2) to eliminate
V
dV
 3 A P M C V To T Po       s A P M C V To T Po       s  SincCdp/dV/C    (4)  dpdp > 0)   dp < 0 and M < 1 at inlet dpMdpM < 1 at inlet (subsonic diffuser), and dp > 0 and M > 1 at inlet (supersonic   dpM < 1) dpM > 1) dA < 0 dA > 0          :  :  :   dpM < 1) dpM > 1) dA > 0 dA < 0 M<1 M>1 A P M C V To T Po       s M<1 M>1 A P M C V To T Po       s
e speed of sound
is given by (
), and Mach number is
, the above
equation can be expressed as,
2
1
M
dp
A
dA
For nozzles, pressure drops in the flow direction (
< 0). For diffusers, pressure
rises in the flow direction (
Four Configurations for Nozzles and Diffusers
Equation (4) allows for four combinations namely, (a)
(subsonic nozzle); (b)
< 0 and
> 1 at inlet (supersonic nozzle); (c)
> 0 and
diffuser). These configurations are shown below, along with property changes in
the flow direction.
Subsonic Nozzle (
< 0;
Supersonic Nozzle (
< 0;
From Eq. (4);
From Eq. (4);
decrease in flow direction
increase in flow direction
remain constant in flow direction
Subsonic Diffuser (
> 0;
Supersonic Diffuser (
> 0;
From Eq. (4);
From Eq. (4);
 4   ho  (5)  or     h = h (Tho = h(To)       (6)          (7) static temperature (T) decreases (nozzles) or increases (diffusers) since To is    C2 =  (K  Cpo/Cvo) (8) In nozzles CTC Ton.
Property Relationships and Variations for Isentropic Flows
2
2
V
h
= constant =
(First Law)   
1
1
o
o
h
h
  (stagnation enthalpy is constant in flow direction)
For ideal gas  
),  or
0
2
1
1
1
o
o
po
o
o
T
T
C
h
h
o
o2
o
T
T
T
1
   (Constant)  
From Equation (5),
2
2
V
h
h
o
2
2
V
T
T
C
o
po
po
o
C
V
T
T
2
2
Equation (7) indicates that as velocity increases (nozzles) or decreases (diffusers),
constant.
The speed of sound is given by the expression,
KRT
decreases since
decreases in the flow direction. In diffusers
increases since
increases in the flow directi
Mach number of the flow is defined as
 5 1 2 1 01  , 02 2 T      T1 T2 T1        (9) In nozzles (dp < 0), MV increases and T dpMVT    (10)   -      s
o
o
o
T
T
T
2
1
o
o2
P
P
P
1
0
1
o
T
2
2
1
V
KRT
V
C
V
M
increases in the flow direction since
decreases. In diffusers (
> 0),
decreases since
decreases and
increases.
Stagnation states 01 and 02 are related through isentropic relationship
1
1
2
1
2
k
k
o
o
o
o
T
T
P
P
Since T
1
2
o
o
T
, it follows that
1
2
o
o
P
P
Stagnation pressure remains constant in the flow direction in isentropic flows. For
locations 1 and 2 for a nozzle, thermodynamic states 1, 2, 01 and 02 are shown
below on a thermodynamic (T
s) diagram.
1
1
,
,V
,T
1
1
1
o
o
P
T
P
2
2
,T
,V
,T
2
2
2
o
o
P
P
1
P
2
P
 6  es      ;  and  CpoK ad R  Cpo, one gets   ;    or,  (11) , one gets   (12) ,
Flow Regimes (Subsonic/Supersonic) in Isentropic Flows
Isentropic Relationship between Stagnation and Static Properti
From energy equation (5) one can deduce the following
po
o
C
V
T
T
2
2
T
C
V
T
T
po
o
2
1
2
vo
po
C
C
K
vo
po
C
C
R
Solving for
in terms of
, one gets
1
K
KR
C
po
Substituting for
2
1
1
2
K
KRT
V
T
T
o
2
1
1
2
2
k
C
V
KRT
C
2
2
2
1
1
M
K
T
T
o
From isentropic relationship
1
/
/
k
K
o
o
T
T
p
p
1
2
2
1
1
k
k
o
M
K
P
P
From ideal gas equation
T
T
p
p
o
o
o
/
/
/
one obtains
 7 M=1 M A*  V* A  V    (13)
1
1
2
2
1
1
k
o
M
k
Relationship Between Area and Mach Number
Mass Conservation
*
*V
*
A
AV
(Note: *refers to sonic, M = 1, condition)
T
T
M
CM
M
C
V
V
A
A
*
*
*
*
*
*
*
*
o
o
o
o
T
T
T
T
M
/
/
*
/
/
*
1
From Eqs. (11) and (13), one gets,
1
2
1
2
2
1
1
2
1
1
1
*
k
k
k
M
k
M
A
A
Equation (14), a relationship between Area A and Mach number M, is shown
graphically in the following figure.
 8 2.0   1.5   1.0   0.5  M      nozzle nozzle diffusion subsonic nozzle a b c d *          Figure 1  (i) a  (ii) b  (iii) d  (iv) c  -. - d  *  b  a).   at A/AA/A* = MbMdA/A*
       .5             1.0             1.5             2.0
supersonic diffuser
supersonic
subsonic
The figure above illustrates the four configurations of nozzles and diffusers.
b (area decrease):  subsonic nozzle
a (area increase):  subsonic diffuser
c (area increase):  supersonic nozzle
d (area decrease): supersonic diffuser
This figure also illustrates the fact in order to increase Mach number from subsonic
to supersonic the nozzle must be a converging
diverging type, with a minimum
area section in the middle. It is also evident from Eq. (4) or Fig. 1 that it is
impossible to achieve supersonic flows in the converging part of the nozzle
Conversely, to slow a supersonic flow to subsonic speed, the flow must pass
through a converging
diverging diffuser (c
Subsonic and Supersonic Flow Regimes
The relationship between area and Mach number for isentropic flows indicates th
two Mach numbers, one subsonic (M < 1) and another supersonic (M > 1) are
possible for each value of area ratio
*. This is illustrated in Figure 1 for
1.5, where two Mach numbers
< 1.0 and
> 1.0 are indicated. However, only
 9 d c b a  V0 Po To   PE PB  Figure 2  PB = Po PB < Po (Flow) PB = Pc (ME = 1) PB (ME = 1)   r (either Mb or MdMb or Md is uniquely determined by the back pressure of the nozzle or diffuser. This is    Po, To), PB                 P/Po       Po and ToAEa to level bMEPB = Pc, MEx Figure 3
x
Back Pressure
(No Flow)
one Mach numbe
) can exist at this area. This value of
explained in the next section.
Choking Phenomenon In Nozzles
The mass flowrate is a nozzle depends on upstream stagnation conditions (
the throat area and downstream condition (back pressure
). This is shown in
Figure 2 for a converging nozzle.
For a given
, and exit area
, as the back pressure is lowered from level
, flow is established in the nozzle, and pressure drops throughout the
nozzle, and velocity increases, reaching a maximum at the nozzle exit. The Mach
number at the exit
is less than one, and the exit pressure is matched to the back
pressure exactly as shown in the above figure. As the back pressure is lowered to a
critical value
become equal to unity (sonic condition) as illustrated by
 10      d(ME=1) e(ME=1) b(ME<1)  PB/Po a PE/Po    1.0 0.528 d c b a 45  PB/Po PEPB is greater than PB tPcPBPE. In fact fluid PB has MEconverging nozzle if incoming flow is subsonic. This is further illustrated               Fig. 4 PE = PBPB < PEflowrate reaches a maximum ((ME = 1 or CE = VEof the condition VE = CE  Po and ToPBME ME
max
m
m
0                 0.528                          1.0
0.528                1.0
case c. Note that exit pressure
is exactly matched to the back pressure
. Also,
the mass flowrate
c
m
b
m
for case b. In fact, mass flow rate has
reached its maximum value (
c
m
m
max
) for the case c. Lowering the back pressure
o a value below
(case d) produces two surprising results. First, the pressure
distribution inside the nozzle remains the same as it was in case c. Also for case d,
the back pressure
is not exactly matched to the exit pressure
comes out at the exit section totally oblivious of the fact that back pressure
been lowered. The Mach number
for the case d is still equal to one, consistent
with earlier results that showed that supersonic flow can not be established in the
graphically in Fig. 4.
Note that for cases a, b and c
. But for case d,
. Also, the mass
max
m
) once exit Mach number becomes one and
remains at that value. This is also known as the choked flow condition. Reducing
the back pressure sends a signal that travels upstream a speed of sound C. But once
exit condition becomes sonic
), the disturbance created by
further lowering of pack pressure is not able to travel past the exit section because
. Consequently, upstream sections of nozzle become
unaware of the reduced back pressure, and continue to pass the same (maximum)
mass flowrate through the nozzle.
Criterion for Choking
If a nozzle with
is operating in an environment with a back pressure of
, how can we determine if the flow is choked (
= 1.0) or unchoked (
< 1.0).
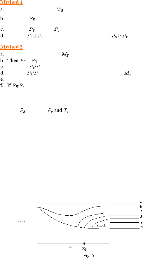
 11 x c g f shock Method 1 a. ME  b. PE c. PEPo. d. Pb  PEPB > PE Method 2 a. ME  b. Then PE = PB c. PE/P. d. PE/PoME  e.  f. If PE/Po  - PB Po and To         a b e d  P/Po Fig. 5 xf
Assume choked flow (
= 1.0).
Calculate
from Eq. (12) or gas dynamic table. For K = 1.4,
o
E
P
P
= 0.528.
Calculate
= 0.528
Check if
. If yes, then flow is choked. If
, the flow is not choked.
Assume unchoked flow (
< 1.0).
(note: pressures are matched).
Calculate
Check if
< 0.528 (0.528 is the critical value for
= 1.0).
If yes, then the flow is unchoked.
> 0.528, the flow is choked.
Choking Phenomenon in Converging
Diverging Area Changes
An experiment similar to the for converging nozzle will involve lowering of back
pressure
for given
. Results are shown in Figure 4.
 12 - 1.    2.    3.    4.   ___Non- 5.    6.    7.  the exit area (A) and the throat area (At). The ratio AE/Atc/Po and Pd/Pod/Po (for Using Pd/Poebetween Pc and Pe, say at pfion xf s
A converging
diverging nozzle or diffuser can operate in seven distinct regimes.
Subsonic flow throughout (M < 1), (cases between a and c)
___Isentropic process.
Converging section (subsonic), throat sonic (M = 1) and diverging section
subsonic (case c)
___Isentropic process.
Converging section (subsonic), throat sonic  (M = 1) and diverging section
supersonic (case d)
___Isentropic process
Converging section (subsonic), throat sonic and normal shock in the diverging
section (cases between c and e)
isentropic process (up to shock flow is isentropic and the nozzle same
as 3 but normal shock in the diverging section of the nozzle)
Same as 3 but normal shock at exit
___Isentropic process in the entire nozzle (case 3) but shock at the exit
Same as 3 but oblique shocks outside the nozzle (cases between e and d)
___Isentropic process in the nozzle but oblique shocks outside the nozzle.
Same as 3 but expansion waves and oblique shock waves out side the nozzle
(cases below d)
These regimes (pressure ranges) can be determined by knowing
, from isentropic gas tables or Fig. 1,
determines subsonic case c, and supersonic, case d). The pressure ratio P
can be determined from gas tables or Eq. (12). The pressure level P
case e) represents the case for which normal shock exists at the nozzle exit section.
and normal shock relations or table one can find P
. If the pressure is
then a normal shock occurs in the nozzle at locat
as shown in Fig. 5. The flow ahead of the shock is supersonic and behind subsonic.
After that the nozzle section behaves as a diffuser and the flow is isentropic, with
Mach  number decreasing further to the exit section level. As the back pressure i
raised to level g, the shock becomes weaker and shifts towards the throat section.
At pressure level c, the shock disappears at the throat where Mach number is one
and the shock strength (pressure spike) goes to zero.
 13 Shock (non- Po  T  To  s  M  V  C
Changes of Properties Across the
isentropic flow)