-MODULE This sub-    Converging--free
COMPREHENSION SUB
module uses previously discussed concepts and equations to analyze
following two types of problems.
Converging nozzles operating isentropically
diverging nozzles operating isentropically (shock
condition)
 2 PB Po  To = 333 K   Calculate E). b. 2. c. 2. d. P and2.     Solution one). 1. MEMEless 2.    PE/Po for ME   kPa 3. PB > PE, MEMEPB PEPB > PEMEME
= 591 kPa
= 1.0 MPa
Converging Nozzle
Air flows through a converging nozzle. The flow is isentropic. Flow conditions are
given in the figure.
a.  The exit Mach number (M
Mass flowrate if exit area is 0.001m
Mach number at a section where area is 0.0015m
T at a section where area is 0.0015m
We must first check for choking (to check if exit Mach number is one or less than
We assume
= 1.0, subject to further verification. Note that
can be either
than unity or equal to one.
Use isentropic relation
1
2
2
1
1
K
K
o
M
K
P
P
to calculate
= 1.0.
528
5238
.
0
E
o
E
P
P
P
Since
can not be equal to unity. To be consistent with
= 1.0,
must be either equal or less than
, but not greater. Since
, our original
assumption
= 1.0 is not right. Consequently,
must be less than unity.
 3 4. ME PE = PBkPa. 5.  ME = PE ME. 6.     k  R = 287 J/kg K  PoTo = 333 K   7. AE/A*     Ax  = 0.0015m2
Since nozzle is not choked (
< 1), exit flow is subsonic and
= 591
591
.
0
1000
591
o
E
P
P
From isentropic relation
1
2
2
1
1
K
K
o
M
K
P
P
, one can determine
0.90 for
= 591 kPa or, alternatively one can use gas tables to find
For mass flow rate
m
, one can use the following relation,
1
2
1
2
2
1
1
k
k
E
E
o
o
M
k
M
R
k
T
P
A
m
, or one can use 
E
E
E
A
V
m
= 1.4 (for air or diatomic gases)
= 1000 kPa,
m
= 2.20 kg/sec 
Calculate
from Eq. (14)
0088
.
1
2
1
1
2
1
1
1
1
2
1
2
*
k
k
E
E
E
k
M
k
M
A
A
or, get the value from gas tables.
2
2
*
0009912m
.
0
0088
.
1
001
.
0
0088
.
1
m
A
A
E
5133
.
1
0009912m
.
0
0015m
.
0
   A
2
2
*
A
x
 4  T1 T2  P1 P2 1 2     MxMxMx Ax/A* is known Mx    MxKToPoTx = Px     and  M1T1 = 62C, P1A1 = 0.001m3, and M2 = 0.80 Find (a) Plot T- (b)  (c)    Solution:  Isentropic Flow:          T
1
0
T
2
1
0
0
T
T
Now you can solve for
from Eq. (14). But it will be a cumbersome equation to
solve for
. However, from gas tables
can be obtained if
= 0.425 
8.  Use isentropic relations to calculate T and P.
1
2
2
2
1
1
  
and
  
2
1
1
k
k
o
o
M
k
P
P
M
k
T
T
Since
= 0.425,
= 1.4,
= 333K,
= 1000 kPa. One can solve for
321K, and
= 883 kPa. Alternatively, one can use gas tables.
Nozzle (unchoked) flow
Statement:
Isentropic flow of air in a channel is analyzed. At sections
following data are given:
= 0.3,
= 650 kPa,
s diagram showing thermodynamic states
Properties at section
Sketch the channel shape
2
1
0
0
T
T
2
1
0
0
P
P
First Use Formulas to Solve the Problem
2
2
1
1
1
2
3
.
2
1
4
.
1
1
273
62
2
1
1
M
K
T
T
T
o
o
2
1
0
0
P
P
 5 1 2          m/s           A2 = 5.1210-4 m2  A2 < A1
K
T
T
o¹
o2
341
K
M
K
T
T2
o2
302
82
.
0
2
.
0
1
341
2
1
1
2
2
For Ideal Gas (Air)
m/s
348
302
1000
287
.
40
.
1
2
/
1
2
2
KRT
C
278
348
8
.
0
2
2
2
C
M
V
Isentropic Relation:
696
.
0
1
1
2
1
2
K
K
T
T
P
P
KPa
P
P
452
650
696
.
0
696
.
0
1
2
3
2
2
2
/
2kg
.
5
302
287
.
452
m
RT
P
2
2
2
1
1
1
A
V
A
V
m
2
1
2
1
1
2
V
V
A
A
Solve for
(as expected)
kPa
M1
K
P
P
P
K
K
692
2
1
1
1
2
1
0
02
1
 6     but  (at M1    (at M2        at M1 = 0.30     at M2 = 0.80        Find T2:  the same way as P2.
Solve the Same Problem Using Gas Table
*
1
*
2
1
2
/
/
A
A
A
A
A
A
035
.
2
/
*
1
A
A
= 0.30)   (From Isentropic Flow Table)
038
.
1
/
*
2
A
A
= 0.80)
510
.
0
035
.
2
038
.
1
  
1
2
A
A
2
4
3
1
2
10
1
.
5
10
51
.
0
510
.
0
m
A
A
                (same answer as before)
9395
.
0
1
0
1
P
P
(From Isentropic Flow Table)
6560
.
0
2
0
2
P
P
(From Isentropic Flow Table)
Since
1
2
0
0
P
P
9395
.
0
6560
.
0
/
/
1
2
0
1
0
2
1
2
P
P
P
P
P
P
kPa
kPa
P
452
650
9395
.
0
6560
.
0
2
2
0
1
0
T
T
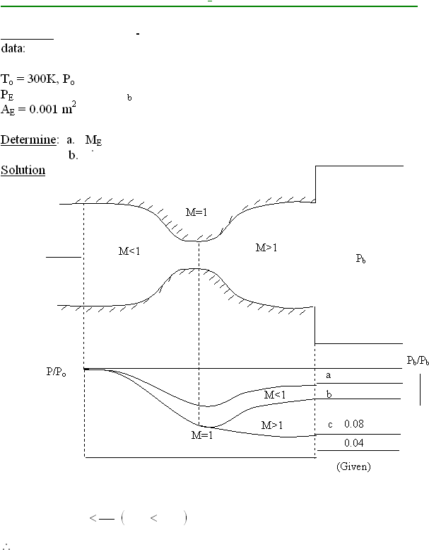
 7 M=1 M<1 M>1 M=1 a b c    0.08 Pb/Pb 0.04 (Given) -  -data:  To = 300K, Po PEb AE = 0.001 m2  Determine:  a. ME b.  Solution                       Pb M<1 M>1 P/Po
Isentropic Flow in a Converging
Diverging Nozzle: Choked Flow
Statement:  A converging
diverging nozzle (see figure) handling air has following
= 1000 kPa
(Design) = 80 kPa; P
= 40 kPa
(Exit Area)
m
Step (1):  Check for choking.
Notice    
08
.
0
04
.
0
 
/
o
E
o
b
P
P
P
P
  Flow is choked, and supersonic at the exit.
 8 (2)   ME = 2.30   TE/To    TE 300 = 145.7K  (3) 3 (4) CE  m/s  (5) m/s (6)  kg/s  NOTEME.   Find TE from  . - To Po AEPE)ME < 1).
From Isentropic Flow Table, for 
,
08
.
0
o
E
P
P
= 0.48591
= 0.48591
Calculate 
E
E
E
RT
P
80/(.287
145.7) = 1.913 kg/m
Calculate
(speed of sound)
242
7
.
145
1000
287
.
4
.
1
E
E
KRT
C
Calculate V
556
242
30
.
2
E
E
E
C
M
Calculate
E
E
E
A
V
m
06
.
1
001
.
0
556
913
.
1
m
: YOU CAN ALSO SOLVE THE PROBLEM WITHOUT USING
TABLES. FOR EXAMPLE USING THE FOLLOWING RELATION, FIND
1
2
2
1
1
known
k
k
E
E
o
M
k
P
P
2
/
1
1
1
2
1
k
P
P
M
k
k
E
o
E
E
E
E
o
T
M
k
T
T
 
;
2
1
1
2
(known)
Follow steps (3) to (7) to determine
m
Variation of the Converging
Diverging Nozzle Problem
For given
= 300K,
= 1000 kPa
= 0.001, determine exit pressure (
for flow to be subsonic (
 9 AE/A* = 2.193 (for ME E  or, kPa kPa
Note that
= 2.30; supersonic branch of the solution)
Using isentropic flow table, one finds that for A
/A* = 2.193
945
.
0
 
and
 
,
28
.
0
o
E
E
P
P
M
945
E
P
Since
945
1
E
b
E
P
P
M